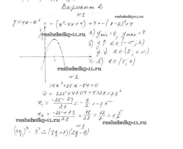
Алгебра за 8 класс Александрова Контрольные работы УМК Базовый уровень Мнемозина итоговая контрольная работа. вариант 2
Решебник / контрольная работа / итоговая контрольная работа. вариант / 2

Решебник 2 / контрольная работа / итоговая контрольная работа. вариант / 2

Решебник 3 / контрольная работа / итоговая контрольная работа. вариант / 2


Готовая домашняя работа с ответами по Алгебре за 8 класс Александрова Контрольные работы УМК Базовый уровень Мнемозина 2016 ФГОС - Итоговые контрольные работы. Варианты 2