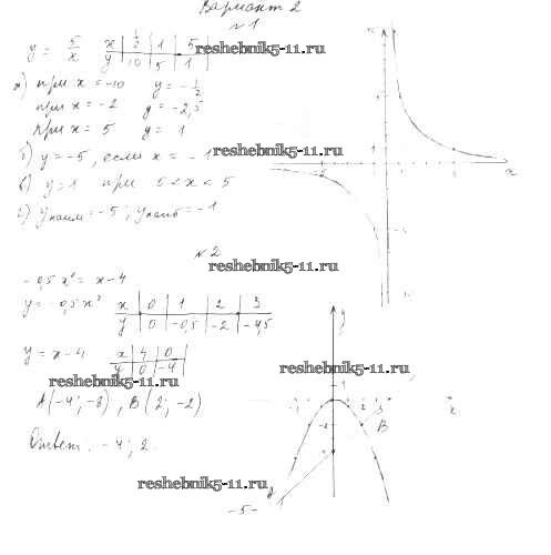
Алгебра за 8 класс Александрова Контрольные работы УМК Базовый уровень Мнемозина кр-4. вариант 2
Решебник / контрольная работа / кр-4. вариант / 2

Решебник 2 / контрольная работа / кр-4. вариант / 2

Решебник 3 / контрольная работа / кр-4. вариант / 2


Готовая домашняя работа с ответами по Алгебре за 8 класс Александрова Контрольные работы УМК Базовый уровень Мнемозина 2016 ФГОС - КР-4. Варианты 2