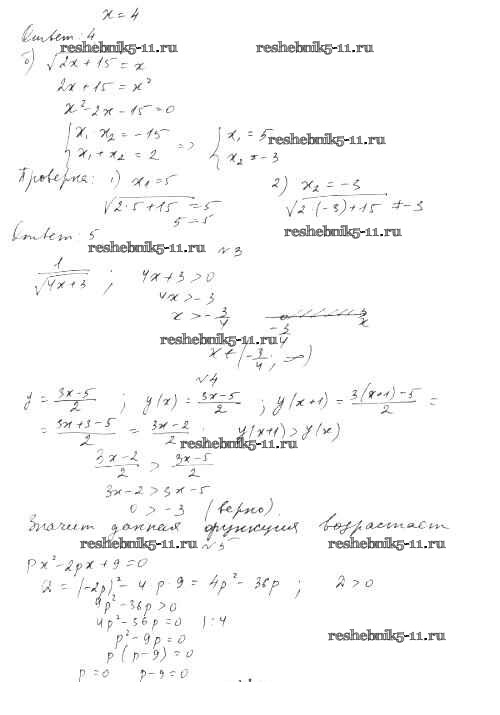
Алгебра за 8 класс Александрова Контрольные работы УМК Базовый уровень Мнемозина кр-8. вариант 2
Решебник / контрольная работа / кр-8. вариант / 2

Решебник 2 / контрольная работа / кр-8. вариант / 2

Решебник 3 / контрольная работа / кр-8. вариант / 2



Готовая домашняя работа с ответами по Алгебре за 8 класс Александрова Контрольные работы УМК Базовый уровень Мнемозина 2016 ФГОС - КР-8. Варианты 2