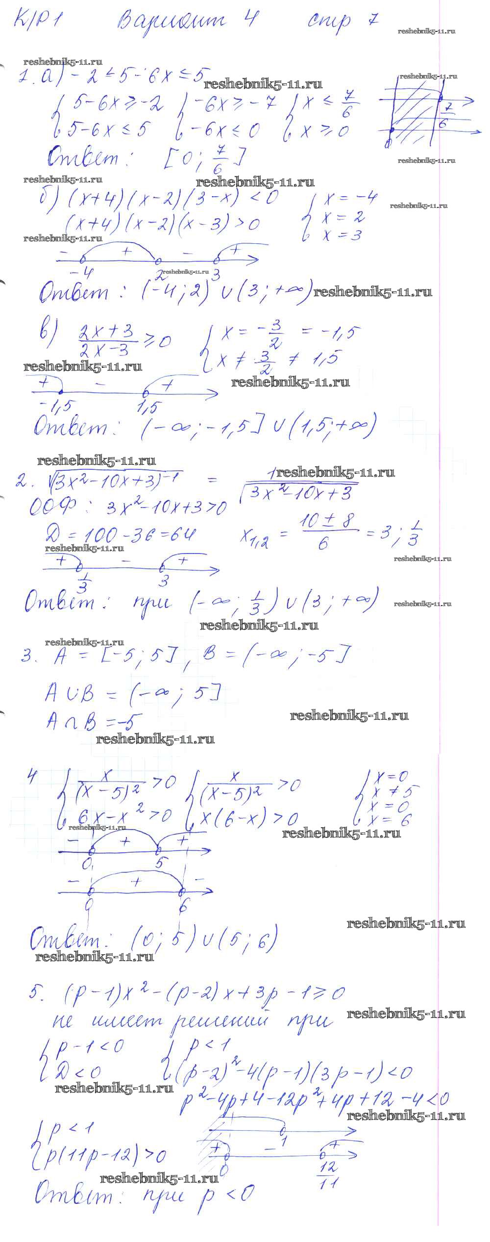
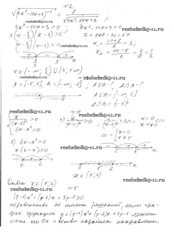
Алгебра за 9 класс Александрова Контрольные работы Базовый уровень Мнемозина кр-1 вариант №4
Решебник №1 / кр-1 / вариант №4

Решебник №2 / кр-1 / вариант №4

Решебник №3 / кр-1 / вариант №4



Контрольная работа №1
Контрольная работа №2
Контрольная работа №3
Контрольная работа №4
Контрольная работа №5
Контрольная работа №6
Итоговая контрольная работа
Готовая домашняя работа с ответами по Алгебре за 9 класс Александрова Контрольные работы Базовый уровень Мнемозина 2016 ФГОС - Контрольная работа №1 вариант №4