Алгебра за 9 класс Александрова Контрольные работы Базовый уровень Мнемозина итоговая кр вариант №1
Решебник №1 / итоговая кр / вариант №1

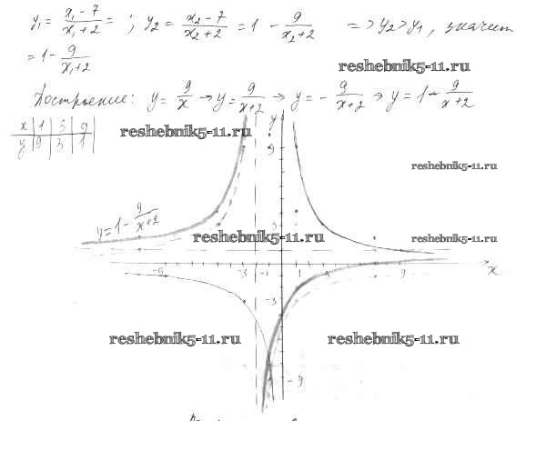
Решебник №3 / итоговая кр / вариант №1



Контрольная работа №1
Контрольная работа №2
Контрольная работа №3
Контрольная работа №4
Контрольная работа №5
Контрольная работа №6
Итоговая контрольная работа
Готовая домашняя работа с ответами по Алгебре за 9 класс Александрова Контрольные работы Базовый уровень Мнемозина 2016 ФГОС - Итоговая контрольная работа вариант №1