Алгебра за 9 класс Александрова Контрольные работы Базовый уровень Мнемозина кр-2 вариант №3
Решебник №1 / кр-2 / вариант №3

Решебник №2 / кр-2 / вариант №3

Решебник №3 / кр-2 / вариант №3




Контрольная работа №1
Контрольная работа №2
Контрольная работа №3
Контрольная работа №4
Контрольная работа №5
Контрольная работа №6
Итоговая контрольная работа
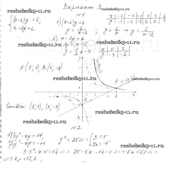
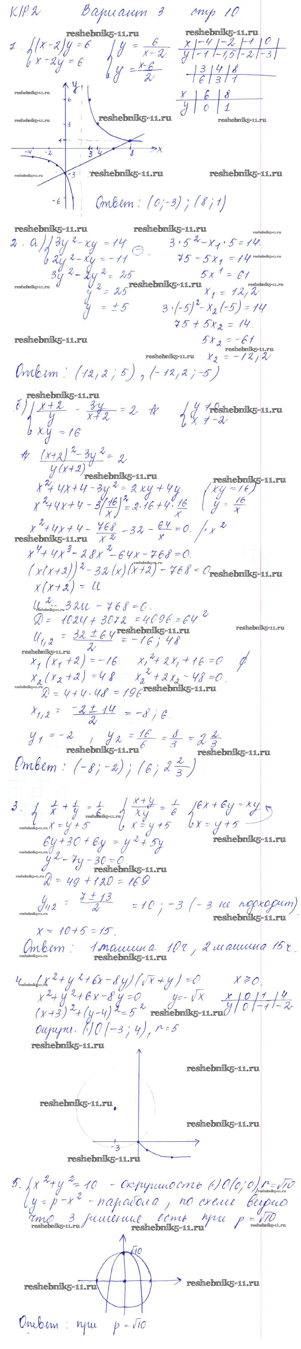
Готовая домашняя работа с ответами по Алгебре за 9 класс Александрова Контрольные работы Базовый уровень Мнемозина 2016 ФГОС - Контрольная работа №2 вариант №3