Алгебра за 9 класс Александрова Контрольные работы Базовый уровень Мнемозина кр-4 вариант №2
Решебник №1 / кр-4 / вариант №2

Решебник №2 / кр-4 / вариант №2

Решебник №3 / кр-4 / вариант №2


Контрольная работа №1
Контрольная работа №2
Контрольная работа №3
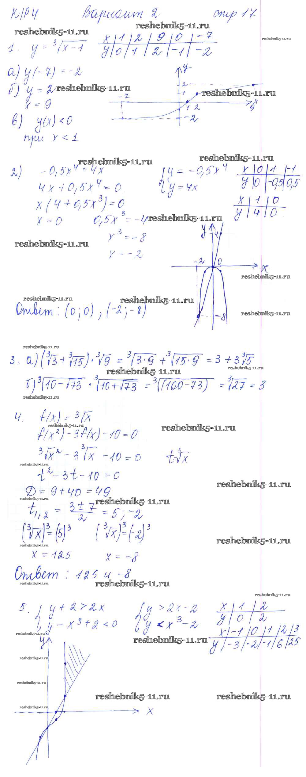
Контрольная работа №4
Контрольная работа №5
Контрольная работа №6
Итоговая контрольная работа
Готовая домашняя работа с ответами по Алгебре за 9 класс Александрова Контрольные работы Базовый уровень Мнемозина 2016 ФГОС - Контрольная работа №4 вариант №2